Guaranteed Structured Investment Funds

Investment Funds have become very attractive for investors today. Novagestión Asesorías Financieras SpA has wanted to contribute to the understanding of this booming financial sector, providing three examples of Guaranteed Structured Investment Funds. The orientation of these products is aimed at investors with a medium-high risk aversion. They are products that guarantee the total investment or a very high proportion of it. This contribution seeks to innovate in investment instruments using Structured Notes in their conception. We hope that it will be a contribution to the understanding and mastery of these instruments. If you are interested in viewing the document in PDF, visit https://drive.google.com/file/d/1mE98XTkGwQY76nKz1UOn8Vem2bqe7l7V/view?u...

Guarenteed Structures Investment Funds














Guarenteed Structures Investment Funds
Guarenteed Structures Investment Funds
Guarenteed Structures Investment Funds
Guarenteed Structures Investment Funds
Guarenteed Structures Investment Funds
Guarenteed Structures Investment Funds
Guarenteed Structures Investment Funds
Guarenteed Structures Investment Funds
Guarenteed Structures Investment Funds
Guarenteed Structures Investment Funds
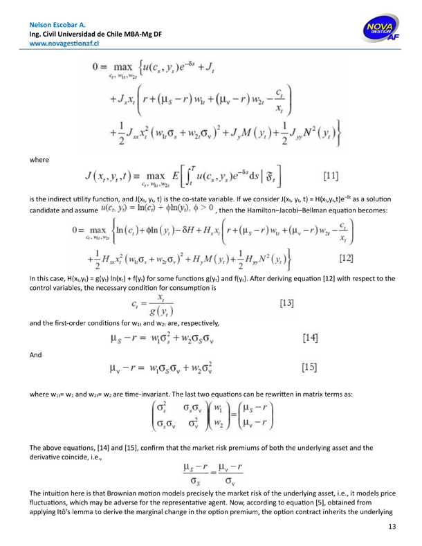
Guarenteed Structures Investment Funds
Guarenteed Structures Investment Funds
Guarenteed Structures Investment Funds
Guarenteed Structures Investment Funds
Guarenteed Structures Investment Funds
English